人生就是博官网

目今位置:首页> 党建之窗 > 人事信息 >

人事信息

人生就是博官网2022年第一批社会果真招聘笔试通告

日期:2022-07-22 17:48:03    来源:

人生就是博官网2022年第一批社会果真招聘笔试通告_00.jpg

人生就是博官网2022年第一批社会果真招聘笔试通告_01.jpg

人生就是博官网2022年第一批社会果真招聘笔试通告_02.jpg

人生就是博官网2022年第一批社会果真招聘笔试通告_03.jpg

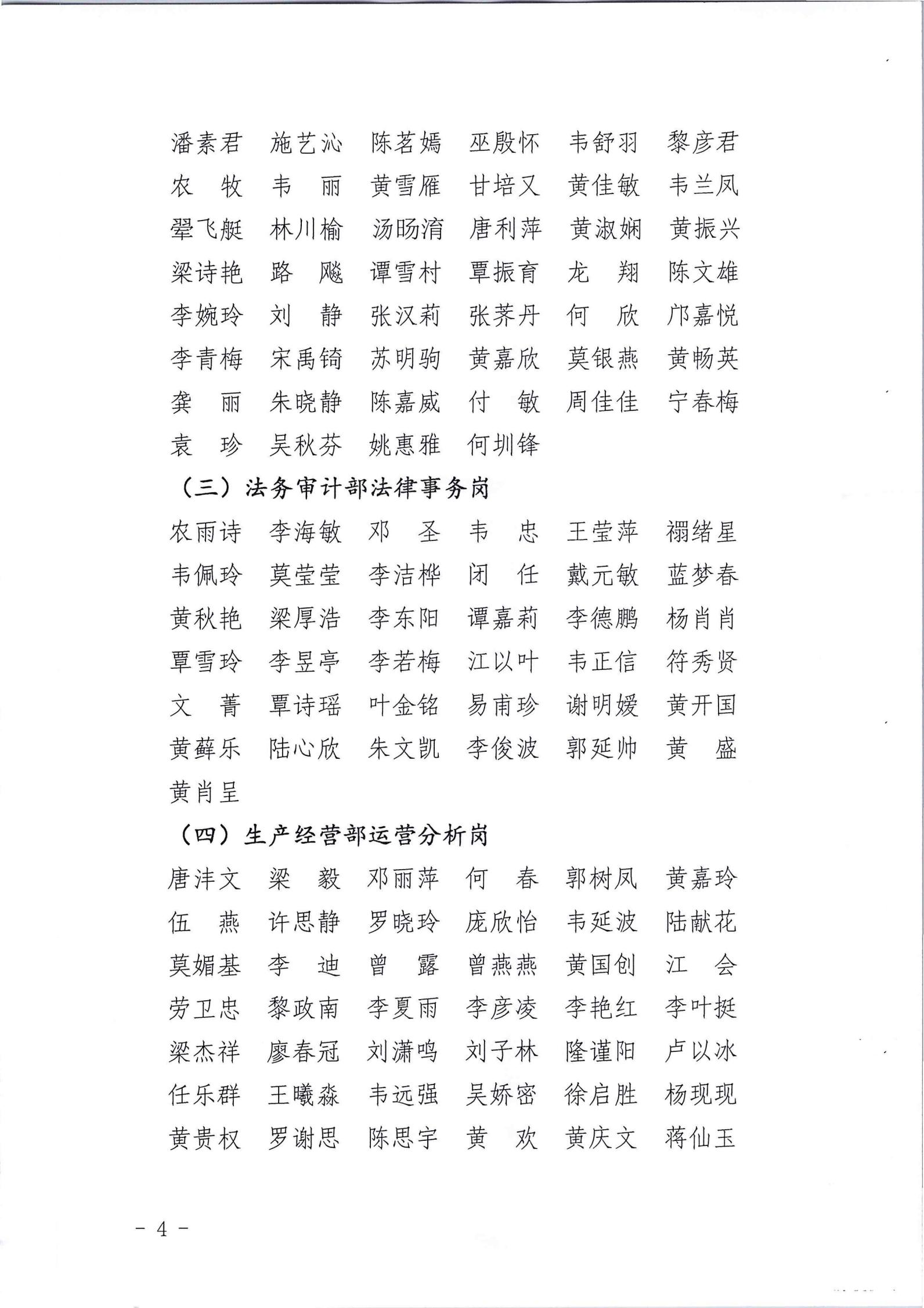
人生就是博官网2022年第一批社会果真招聘笔试通告_04.jpg

人生就是博官网2022年第一批社会果真招聘笔试通告_05.jpg


网站地图